いぬおさんのおもしろ数学実験室

おいしい紅茶でも飲みながら数学、物理、工学、プログラミング、そして読書を楽しみましょう

2019-10-01から1ヶ月間の記事一覧

あれ?と思った証明ふたつ

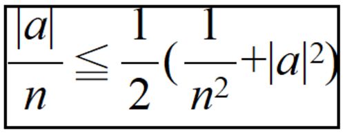
1. ある定理(ある級数の収束に関する定理)の証明の最後の方に右のような不等式が出てきました。nは自然数(1,2,3,………)です。 なぜ成立するのか特に何の説明もないですし、じゃあ簡単に示せるのか? (最悪、導関数を求めて証明できるんだろうけど)し…

高木貞治、ヒルベルト、フォン・ノイマン

高木貞治(ていじ)(1875~1960)は数学者、専門は代数学です。当時、微分学の定理であるにもかかわらず、それまでは積分学を用いて証明されていた定理がありました。高木先生はこれをよくないと考えたんでしょう、微分学の知識のみで証明することを試み、成…