nを自然数とするとき次が成立します。

m毎にmの倍数が出てくるのだから、この公式自体は明らかでしょう。万年カレンダーの記事でもこの公式を使いました。
現行の暦、グレゴリオ暦では「その西暦年号が4の倍数なら閏年、ただし100の倍数なら閏年ではない、さらにただし400の倍数なら閏年」。そういうことなのでした。だから例えば1953年から2014年までで閏年の個数は

なのでした。「1953年から」なので、式の中では1952を使っています。「ガウス記号なんて、なんでまたこんなつまらないものを考えたのかな……」と初めて見たときに思いました。浅はかでした。プログラミングでも画像の座標など、整数値でなければならないときには使いますし、いろいろな言語で(名前は様々でしょうが)組み込みのfloor()といった関数もあったりします。もう、あちこちに出てきます。
この公式を使って「100!の末尾の方につく0は何個あるか」のような問題が解けます。10=5×2ですから、結局100×99×98×……×3×2の中に素因数2、5が何個入っているか調べれば分かります。素因数2はたくさんありますから、問題なのは素因数5の個数です。
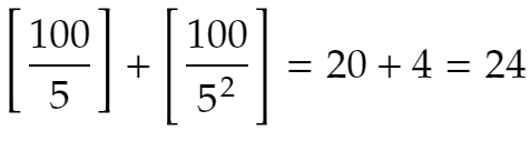
1,2,3,……,100 の中にある5の倍数は[100/5]ですが、25の倍数は[100/25]です。25の倍数である25,50,75,100は素因数5を2個ずつ持っています。だから100!に含まれる素因数5の個数は

です。従って0は24個つくのです。
問題集にもガウス記号を使った、結構面白そうなものがあります。
実数x、yに対して [x]+[y]≦[x+y] を示せ
とか。ガウス記号が2重になった方程式とか、面白そうです。