まずテーラーの定理(n=3の場合を書きます)。x,aを含む区間でf(x)が3回微分可能のとき、次の式を満たすcが存在します(一般にnで成立)。

ただしcは a と x の間の数です。最後の項にcが入っているので注意。この項は剰余項と言います。テーラーの定理で特にa=0とおいた次の定理がマクローリンの定理です。cは 0 とxの間の数です。

上の式ではn=3ですが、n=4,5,6,……としたときに剰余項が0に収束すれば、つまり剰余項がn→+∞のときに0に収束すれば無限級数が収束し、

(テーラー展開)

(マクローリン展開)
が得られます。
高校生のときは剰余項の話は知らず、いきなり相当な荒技でマクローリン展開を導いていた話は書きました。
今にして思えばメチャクチャだけど楽しい日々でした……。
さて、剰余項が出てくるときちんとした議論をいろいろできるようになります。

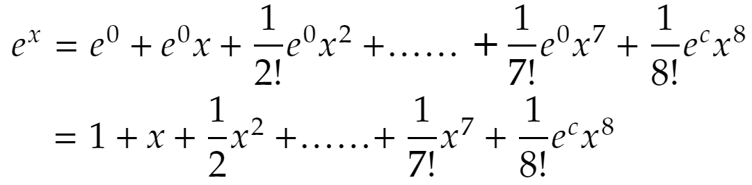
例えば……マクローリンの定理でn=8とし、eの近似値の精度を調べましょう。



であることが分かります。なお、e<3であること、cは0と1の間の数であることを使いました。