いぬおさんのおもしろ数学実験室

おいしい紅茶でも飲みながら数学、物理、工学、プログラミング、そして読書を楽しみましょう

2021-01-28から1日間の記事一覧

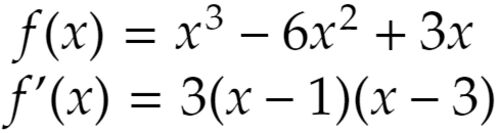
「関数が区間x≦1、3≦xで増加」でイコールを入れるか、入れないか

生徒に聞かれました。教科書の問題です。関数が増加、減少している区間を答えなさい、というものです。 教科書の答えでは 「区間x≦1、3≦xで増加、区間1≦x≦3で減少」 です。生徒は「x=1、3では導関数の値が0なのに、増加や減少していると言っていいんで…